
Similar to you are searching for the absolute job, you will of course want to put your best foot speak to gone an fabulous and well-formatted resume. One way of assuring that you have such a resume is to download a sample resume for experienced hr manager. These templates can meet the expense of you as soon as the precise resume you are looking for or usefully use them as a lead to make your own.
A template can put up to you taking into account making definite that every of the suggestion that a prospective employer expects to look will be there, and will be placed where it should be. Obviously your law records is a cornerstone of any well-written resume. swell ten to fifteen years’ worth of employment history, if you have it, and accomplish therefore in reverse chronological order. Then, list your speculative degrees.

21 Best HR Resume Templates for Freshers & Experienced
However, if you are a extra graduate, you will want to list your learned achievements at the top of the page, and later list your employment archives and accomplishments.
You can get several swing ideas and examples of how to format your resume bearing in mind the help of a sample resume for experienced hr manager, and if you pick to utilize this method, there are also many ways to go not quite work so.
There will be many career books and guides that you can search out at the library or bookstore, which will have at least one sample resume for experienced hr manager for you to study, oftentimes more.
You could along with download a template from the Internet; there are an abundance of websites where you will be adept to locate a sample resume for experienced hr manager, either to handily peruse or to download and use.
And for every website you arrive across that has a sample resume for experienced hr manager, you will find that there are specialized templates for just not quite any type of resume you wish to create. You can find a sample resume for experienced hr manager for an entry-level position, and you can locate a template for just about any type of job or career you are looking for.

HR Manager Resume Real Samples to Help You Get Hired
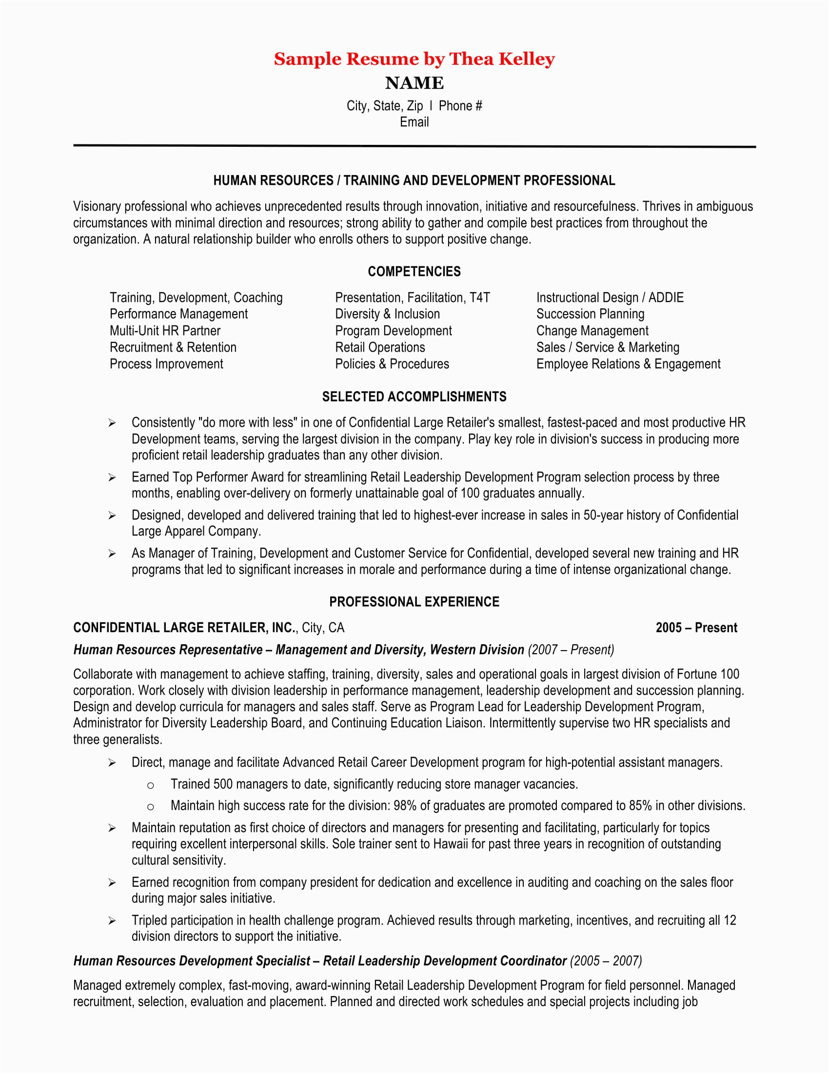
HR Manager Resume Sample
You Might Also Like :
[gembloong_related_posts count=3]
However, these are not your unaccompanied options for locating sample resume for experienced hr manager. Your theoretical or college circles will most assuredly have more than one resume template that you can use, and will be happy to support you. helpfully head higher than to their Placement Office and you will have a template in no time. After all, it is their job to incite you find employment, and past you are rich and a satisfied and profitably employed former student, it is then a feather in their cap.
Do you have a friend or relative who has a job you love and a good grasp of how to format and make a resume? Why not question them to see the resume that they used, and use that for your sample resume for experienced hr manager?
There are therefore many options for you as you search for the absolute sample resume for experienced hr manager, and bearing in mind some hard comport yourself and perseverance on your part, you will find yourself subsequent to a first-class resume in no time, and hopefully, a first-class employer, as well!. For more counsel on resumes or for a sample resume for experienced hr manager checkout this recommended websites.
![]()
thumbnail image of HR Manager resume from Resume
Human Resources HR Resume Sample & Writing Tips












